Copyright © 2019 Wiig, Raastad, Luteberget, Ims and Spencer

External Load Variables Affect Recovery Markers up to 72 h After Semiprofessional Football Matches

External Load Variables Affect Recovery Markers up to 72 h After Semiprofessional Football Matches

Abstract

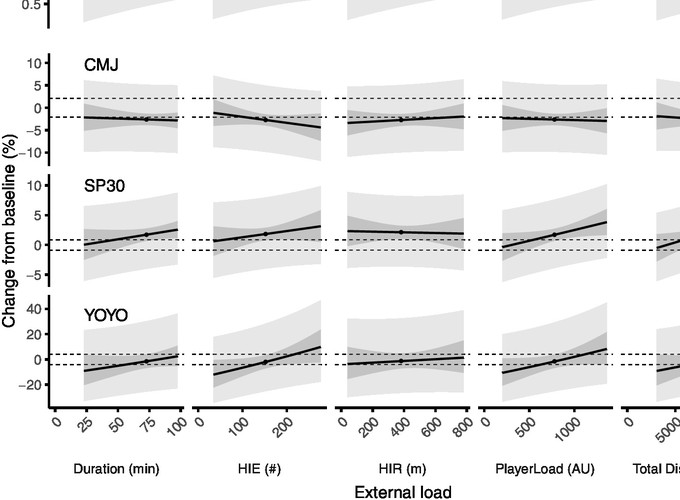
Player tracking devices are commonly used to monitor external load from training and matches in team sports. Yet, how the derived external load variables relate to fatigue and recovery post-training or post-match is scarcely researched. The objective was, therefore, to investigate how external load variables affect recovery markers up to 72 h post-match. Semiprofessional players from six teams wore tracking devices during three experimental football matches. External load variables including individual playing duration, total distance, PlayerLoad™, high-intensity running, and high-intensity events were derived from the tracking devices, and blood samples and performance tests from 24–59 players were undertaken post-match. The effect of the external load variables on creatine kinase, myoglobin, and countermovement jump at 1, 24, 48, and 72 h, and 30-m sprint and Yo-Yo intermittent recovery tests level 1 at 72 h post-match, were modeled. Effects were gauged as two standard deviations of the external load and interpreted as the difference between a typical high-load and a typical low-load match. The effects were evaluated with 90% confidence intervals and magnitude-based inferences. High-intensity running had very likely substantial effects on creatine kinase and myoglobin (moderate factor increases of 1.5–2.0 and 1.3–1.6 respectively), while duration, total distance, and HIE showed small, likely substantial effects. PlayerLoad™ and total distance had likely substantial effects on 30-m sprint time (small increases of 2.1–2.6%). Effects on countermovement jump performance were generally non-substantial. Despite these relationships, the uncertainty was too large to predict the recovery of individual players from the external load variables. This study provides evidence that external load variables have an effect on recovery markers up to 72 h post-match. Hence, tracking external load in matches may be helpful for practitioners when managing training load and recovery strategies post-match. However, it is recommended that several different external load variables are monitored. Future research should continue to address the problem of predicting recovery from external load variables.

Publication
Frontiers in Physiology